물리 공부하면서 맨날 찾아보는 수식이 거기서 거긴데, 그렇다고 삼각함수 합 공식처럼 외워지지는 않고 그래서 그냥 찾으면 찾는대로 추가해서 정리해보기로 했다. 공부하면서 생각날 때 마다 조금씩 추가해보려고 한다.
1. 직교-원통-구면 좌표계 벡터 변환

Reference.
https://m.blog.naver.com/PostView.nhn?isHttpsRedirect=true&blogId=web2011&logNo=221367932781
직각좌표계,원통좌표계,구좌표계 변환
공간을 다룰때, 모든 점을 정의할 수 있어야 한다. 그래야 도형의 성질, 물리량, 물리량의 변화를 나타낼 ...
blog.naver.com
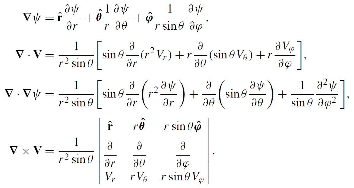
2. 원통-구면 좌표계 미분 연산자 공식






Reference.
Arfken, Mathematical Methods for Physicsists.
댓글 영역