여기에서 앞으로 공부계획에 적어두었던 4대역학 복습/Summary에 해당하는 부분을 다 했다. 다 해서 정리한 김에 블로그에도 포스팅해 두려고 한다.
해당 내용은 본인이 공부하면서 이미 너무 많이 공부해서 아는 것들은 우선 순위를 낮추는 주관적인 보정이 들어간 중요도를 기준으로 summary한 것이니 감안하고 봐주면 좋을 것 같다. 그래도 중요한 건 거의 다 넣긴 했다. 다만... 전자기학은 암기보다는 이미 알고 있는 것들이 중요해서... 문제풀이 스킬이 중요한 것이라 적으려고 보니 적기는 했지만 적을게 없었으니 이해를 해주면 좋을 것 같다.

1. 고전역학

한줄평: 고전역학$\equiv$라그랑지안
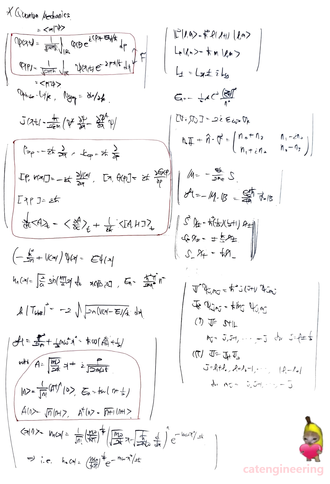
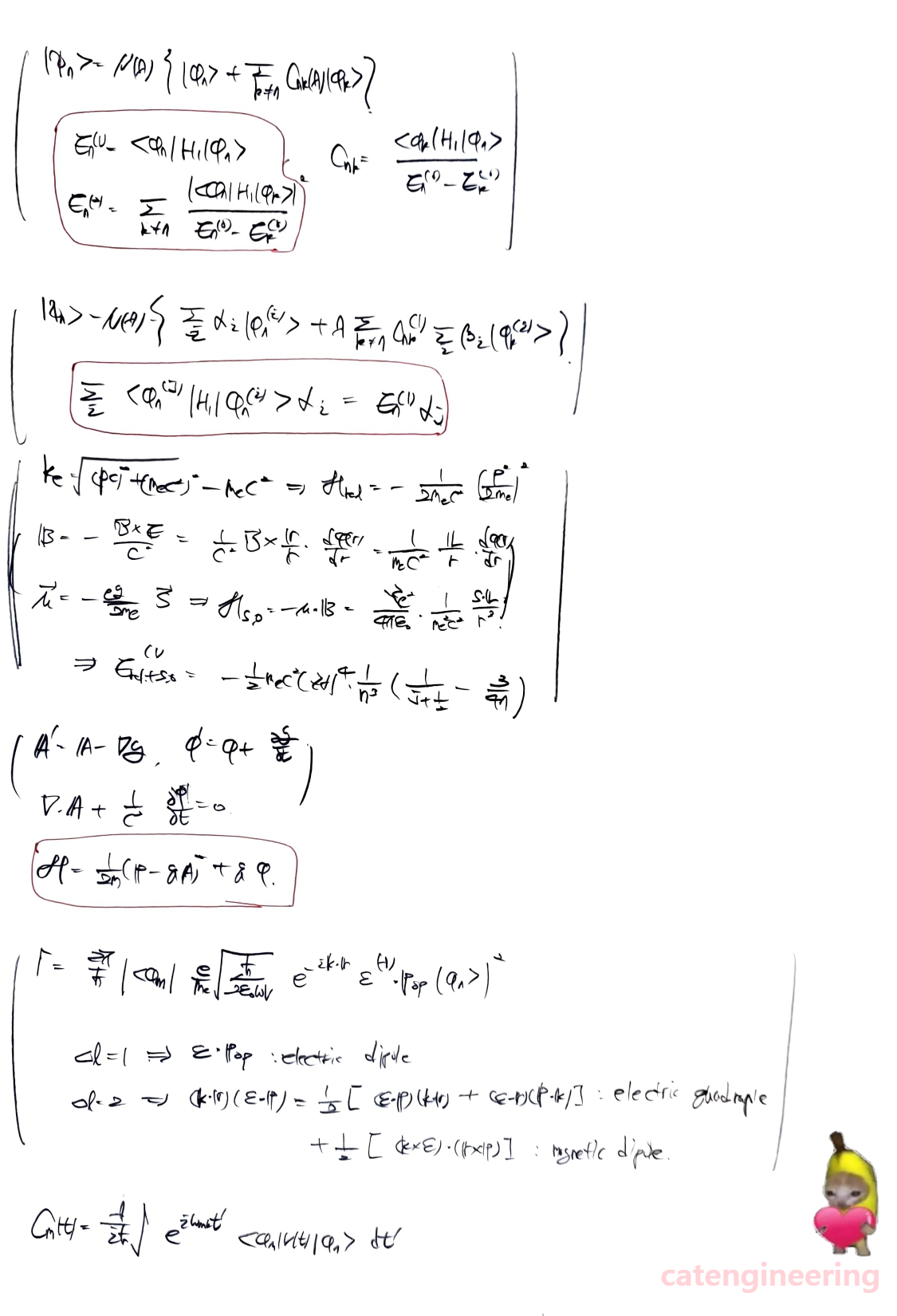
2. 양자물리


한줄평: 사다리연산자 $A^{+}, A$는 굉장히 중요하고, 각운동량 $\mathbf{J}$는 여전히 어렵다.
3. 전자기학

한줄평: 전자기학은 수업 들을 때 잘하자.
4. 통계물리

한줄평: 분배함수는 답을 알고 있다.
5. 4대역학 암기용 summary

그래도 앞으로 대학원 과목 공부하면서 종종 학부 과목의 베이스가 필요할텐데 적절한 시기에 잘 공부해서 잘 정리해둔 것 같다. 앞으로도 학부 과목을 볼 일이 있으면 이 summary note를 보는 것으로 나는 충분할 것 같다. Summary를 하는데 참고한 책은 고전역학$($Marion$)$, 양자물리$($Gasiorowicz$)$, 통계물리$($Schroeder$)$, 전자기학$($Reitz$)$를 이용했다.
다시 학부 과목을 공부하면서 느낀점은 첫 번째로 책들이 참 잘 써졌다는 것이다. 알고 보니 참 많은 내용을 담고 있었고 다시 보니 몰랐던 개념들이 잘 이해되는 것 같다. 마치 수학의 정석을 n회독 하는 느낌이다. 두 번째는 여전히 숨기는 내용들이 많다는 것이다. 중학교 때는 $x^{2}+1=0$의 근은 없다고 하다가 사실 허근이 있었다고 거짓말하는 정도는 아니지만, 책에서 서술해주는 statement들이나 공식들이 하나하나가 사람 이름이 붙을 정도로 엄청난 과정의 결과물이라는 것이다. 대표적으로 각운동량과 스핀의 덧셈...
$$ \psi_{l + 1/2, m + 1/2} = \sqrt{{{l+m+1} \over {2l+1}}} Y_{l,m}\chi_{+} + \sqrt{{{l-m} \over {2l+1}}} Y_{l,m+1}\chi_{-} $$
$$ \psi_{l - 1/2, m + 1/2} = \sqrt{{{l-m} \over {2l+1}}} Y_{l,m}\chi_{+} - \sqrt{{{l+m+1} \over {2l+1}}} Y_{l,m+1}\chi_{-} $$
이 공식이 Clebsch-Gordan coefficient랑 관련이 있을 건 또 뭐람...
그래도 다시 공부하고 정리한 보람이 있어서 다행이다! 짧았지만 재밌는 여정이었다.

댓글 영역